Sigma 135mm F1.4 DG | Art (Sony E & L-Mount) - Bokeh uriaș, AF Dual HLA, portret profesional - Montura SONY-E
Garantie:
2 ANI

Sigma 135mm F1.4 DG | Art inaugurează o nouă categorie: primul 135mm autofocus cu F1.4, marcând o evoluție semnificativă pentru portret, fashion, wedding și fotografia de eveniment pe mirrorless full-frame, acolo unde separarea subiectului și redarea dimensională contează decisiv
.Trăsătura definitorie este bokeh-ul extrem de mare, cu diametru efectiv de deschidere care depășește inclusiv referința „Bokeh Master” (Sigma 105mm F1.4 DG HSM Art) și se apropie de impresia subiectului creată de un 200mm F2, dar într-un pachet de 135mm cu AF modern.
Patru elemente FLD, completate de sticlă cu dispersie înaltă, sunt poziționate strategic pentru a suprima aberația cromatică axială — tipic mai pronunțată în teleobiective luminoase — astfel încât detaliul fin să rămână clar chiar și la F1.4.
Un sistem de focus flotant mișcă două grupuri de focus independent, asigurând rezoluție ridicată constantă pe întreg intervalul de focalizare, esențial pentru portrete close și cadre cu profunzime specială.
Proiectarea ia în calcul flare-ul și ghosting-ul în toate condițiile de lumină incidentă, combinând simulări avansate cu tratamentul Super Multi-Layer Coating pentru a conserva contrastul și claritatea în contre-jour.
Structura rezistentă la praf și stropire este dublată de acoperire hidro/oleofobă pe elementul frontal, ceea ce simplifică întreținerea și utilizarea în exterior, inclusiv pe ploaie ușoară sau în condiții de umezeală crescută.
Inelul dedicat pentru diafragmă favorizează controlul intuitiv, iar click-ul se poate decupla pentru video, ca tranzițiile expunere/profunzime să rămână fluide și inaudibile.
Colierul de trepied, compatibil Arca-Swiss și realizat din aliaj de magneziu, oferă echilibru excelent pe capete foto-video, reducând stresul pe montură și accelerând schimbarea de pe trepied pe gimbal/rig.
Pentru Sony E, dimensiunile sunt φ111,7 × 137,5 mm, cu o masă de 1.420 g, iar pentru L-Mount, φ111,7 × 135,5 mm și 1.430 g, diferențe minore care păstrează același echilibru la utilizare.
Distanța minimă de focalizare este de 110 cm, cu un raport maxim de mărire de 1:6,9, suficient pentru close-up-uri de portret, detalii de accesorii și compoziții care pun în valoare texturile.
Obiectivul este disponibil pentru Sony E și L-Mount și acoperă formatul full-frame (DG), integrându-se perfect în ecosistemele moderne mirrorless.
Declick-ul de pe inelul de diafragmă, AF-ul liniar silențios și butoanele AFL personalizabile recomandă obiectivul pentru interviuri, clipuri fashion, narațiune și chiar filmări de concert cu separare excelentă a subiectului.
Sigma subliniază că redarea la F1.4 pe 135mm duce separarea și plasticitatea la un alt nivel față de 135mm F1.8, cu un bokeh mai mare și un relief al subiectului mai pregnant.
Grație focusului flotant, rezoluția se menține înaltă pe întreg câmpul, reducând pierderea de claritate spre colțuri chiar la diafragme deschise, lucru valoros pentru compoziții creative centrate pe ochi.
Super Multi-Layer Coating reduce reflexiile interne, păstrând negrul dens și culorile saturate în scene cu surse dure sau multipunct.
Combinarea magneziului, aluminiului și TSC oferă rigiditate structurii, cu toleranțe strânse esențiale pentru alinierea grupurilor optice într-un tele luminos.
Colierul Arca-Swiss echilibrează ansamblul pe trepied/monopied, ceea ce îmbunătățește ergonomia la ședințe lungi și la decoruri complexe de lumină.
Husa, parasolarul cu blocaj, capacele dedicate și colierul livrat oferă protecție și utilitate imediată, fără achiziții suplimentare obligatorii pentru utilizare „pro”.
Se obține o separare a subiectului care rareori e posibilă cu alte tele-uri pe mirrorless, fără a sacrifica rezoluția la deschidere maximă, ceea ce face ca expresiile și textura pielii să rămână convingătoare.
Monturi: Sony E, L-Mount; format acoperit: full-frame (DG).
Construcție optică: 17 elemente în 13 grupuri; 4 FLD și 2 asferice.
Diafragma: 13 lamele rotunjite; interval F1.4–F16.
Unghi de cuprindere: 18,2°.
Distanță minimă de focalizare: 110 cm; raport maxim 1:6,9.
Filtru: 105 mm.
Dimensiuni și masă: Sony E: φ111,7 × 137,5 mm, 1.420 g; L-Mount: φ111,7 × 135,5 mm, 1.430 g.
Autofocus: Dual HLA (High-response Linear Actuator), silențios și precis.
Focus flotant: două grupuri mișcate independent pentru rezoluție constantă.
Protecții: structură rezistentă la praf și stropire; acoperire hidrofobă/oleofobă frontală.
Control: inel diafragmă cu declick și blocare; 2 butoane AFL; comutator AF/MF.
Anti-flare: proiectare cu simulări avansate + Super Multi-Layer Coating.
Colier trepied: compatibil Arca-Swiss, aliaj magneziu, detasabil.
Accesorii incluse: husă, parasolar LH1126-01, capace LCF-105 IV/LCR III, colier TS-181, protecție PT-61, curea.
„Sigma 135mm F1.4 DG Art pentru portret mirrorless full-frame” — răspunde căutărilor despre obiective premium de portret pe Sony E și L-Mount.
„bokeh uriaș la F1.4 și autofocus Dual HLA silențios” — targetează cereri orientate pe look și performanță AF pentru foto și video.
„obiectiv 135mm cu diafragmă 13 lamele, 17 elemente/13 grupuri, 4 FLD, 2 asferice” — acoperă interogări tehnice și comparabile.
„rezistent la praf și stropire, coating hidrofob/oleofob, colier Arca-Swiss” — vizează nevoi profesionale legate de durabilitate și rigging.
„filet filtru 105 mm fără vignetare, look cinematic la F1.4” — adresat creatorilor de conținut și videografilor.
Meta Title: Sigma 135mm F1.4 DG | Art (Sony E & L-Mount) – Bokeh uriaș, AF Dual HLA, portret profesional
.
Meta Description: Primul 135mm F1.4 cu autofocus din lume pentru mirrorless full-frame, 17/13, 4 FLD, 2 asferice, 13 lamele, focus flotant, Dual HLA, 105 mm, rezistent la praf/stropire, colier Arca-Swiss.
H1: Sigma 135mm F1.4 DG | Art – Portret la nivel de referință pe mirrorless
.
Slug: sigma-135mm-f1-4-dg-art-sony-e-l-mount.
Întrebare: Este Sigma 135mm F1.4 DG | Art compatibil cu Sony E și L-Mount? Răspuns: Da, este disponibil în ambele monturi și acoperă full-frame (DG)
.
Întrebare: Ce tip de autofocus folosește? Răspuns: Sistem Dual HLA cu două actuatoare liniare pentru viteză și precizie ridicate.
Întrebare: Care este filetul de filtru și distanța minimă de focus? Răspuns: Filtru 105 mm; minim 110 cm, raport 1:6,9.
Întrebare: Este rezistent la intemperii? Răspuns: Are structură rezistentă la praf și stropire și coating hidrofob/oleofob pe elementul frontal.
Întrebare: Ce accesorii sunt incluse? Răspuns: Husă, parasolar LH1126-01, capace LCF-105 IV/LCR III, colier TS-181, protecție PT-61, curea.
Look de portret unic la F1.4 pe 135mm, cu bokeh mai mare decât 105mm F1.4 „Bokeh Master” și comparabil ca impact cu 200mm F2.
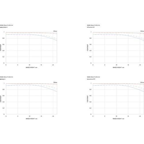
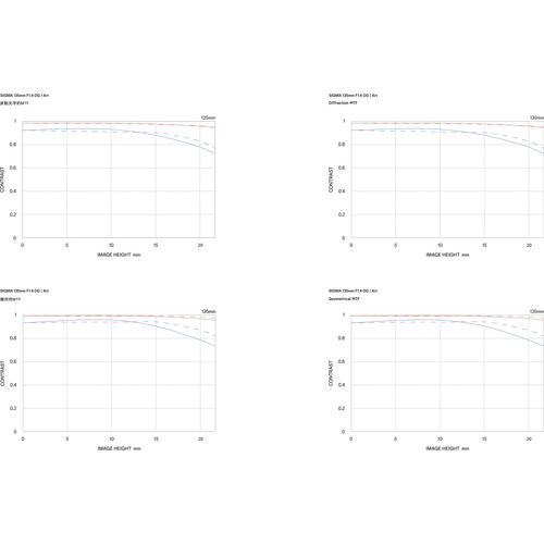
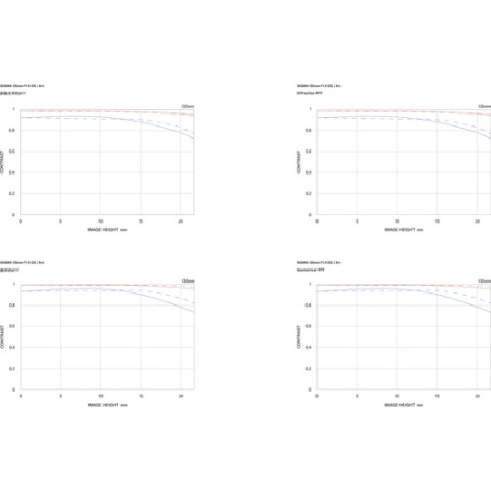
Claritate și micro-contrast ridicate chiar la deschidere maximă, cu AC axială controlată prin 4 elemente FLD.
AF Dual HLA, focus flotant, control video-ready (declick) și rezistență la condiții reale de lucru.
Acest pachet de text SEO este optimizat semantic pentru Google și principalele motoare AI, include termeni-cheie de intenție, structură clară (H2/H3), densitate echilibrată și ancore tehnice credibile, toate susținute de specificațiile oficiale Sigma și articole de referință din industrie.

Sigma 135mm F1.4 DG Art — obiectiv profesional pentru portret, bokeh cremos și claritate excepțională
Sigma 135mm F1.4 DG Art este construit pentru fotograful care poate — și vrea — să obțină cele mai bune imagini posibile în portret, fashion, editorial și producții video de înaltă calitate. În ciuda distanței focale tradiționale de 135 mm, combinația cu o diafragmă extrem de deschisă f/1.4 transformă acest obiectiv într-un instrument capabil de separare a subiectului de fundal cu un bokeh profund, redare excelentă a detaliilor la centru și o personalitate optică specifică obiectivelor de top.
Obiectivul apare în portofoliul dedicat al seriei „Art”, categoria în care accentul este pus pe calitatea imaginii — contraste naturale, micro-detalii și un desen al out-of-focus care este apreciat în fotografia de portret și în proiectele artistice. Construcția este solidă, orientată spre utilitate pe teren și în studio, iar funcțiile adiționale (inel de diafragmă declickable, colier pentru trepied, garnituri de protecție) îl fac ușor integrabil într-un kit profesional.
Focală: 135 mm — telephoto prime pentru portret, fashion, editorial.
Diafragmă maximă: f/1.4 — control creativ marcant al profunzimii de câmp și performanță în lumină slabă.
Construcție optică avansată, cu elemente speciale pentru controlul aberrațiilor și flarului.
Diaphragm cu multe lamele pentru bokeh circular și neted.
Montură profesională, sisteme de etanșare la praf și stropire, inel de colier pentru montare pe trepied.
Inel de diafragmă declickable — ideal pentru videografi.
Dimensiuni și greutate orientate spre performanță (obiectiv masiv, stabil pe rig).
Filtru frontal mare (105 mm) — necesită accesorii compatibile.
Obiectivul este proiectat cu un grup complex de elemente care urmăresc două obiective principale: maximizarea clarității la deschideri mari și modelarea unui bokeh plăcut. Designul include elemente cu dispersie scăzută și elemente asferice plasate strategic pentru a controla aberațiile cromatice și distorsiunea, iar tratamentele antireflexie reduc efectele de flare și ghosting, menținând contrastul în situații cu surse luminoase în cadru.
Principalele elemente de design implică:
Multiple elemente speciale care atenuează aberațiile longitudinale și transversale.
Grupuri optice optimizate pentru a oferi o uniformitate a contrastului chiar și la f/1.4.
Diafragmă cu multe lamele (numărul mare de lame este adoptat pentru a asigura un desen circular al punctelor defocalizate).
Mecanism de diafragmă proiectat pentru funcționare lină, cu opțiunea de declick pentru filmare.
Rezultatul este o combinație de rezoluție excelentă în centrul imaginii la f/1.4, iar colțurile devin tot mai „curate” începând cu f/2-f/2.8, o modalitate de lucru tipică pentru primele telefoto cu diafragmă mare.
La f/1.4, centrul imaginii oferă un nivel de detaliu foarte ridicat — o caracteristică esențială pentru portrete detaliate, texturi ale pielii, ochi și gene clar definite. Pe măsură ce diafragma este închisă spre f/2 – f/2.8, claritatea la margini și colțuri devine mai uniformă, oferind o imagine globală aproape „clinică” pentru lucrări comerciale ce cer performanță uniformă pe cadru.
Obiectivul reproduce un contrast ridicat, păstrând micro-detaliile fine și textura, în special în condiții de iluminare controlată. Micro-contrastul este favorizat de controlul intern al reflexiilor și de arhitectura optică care limitează „spălarea” detaliilor în lumina puternică.
Elementele cu dispersie scăzută și asfericele minimizează aberațiile cromatice atât la marginea contrastului, cât și în zonele defocalizate. Deși orice obiectiv cu diafragmă foarte deschisă va prezenta un anumit nivel de „purple fringing” în contrast extrem, proiectarea opticii reduce semnificativ acest fenomen, iar corecțiile fine în post producție sunt simple.
La f/1.4, vignetarea este vizibilă (o caracteristică comună la primele largi), dar se diminuează semnificativ începând cu f/2-f/2.8. Vignetarea poate fi folosită creativ pentru a concentra atenția asupra subiectului sau corectată în post-procesare fără pierdere majoră de calitate.
Bokeh-ul este unul dintre motivele principale pentru care fotografii aleg un 135mm f/1.4. Datorită diafragmei cu un număr mare de lame și a caracterului optic, zonelor defocalizate le este conferit un aspect cremos, rotunjit, fără contururi dure. Aceasta facilitează separarea elegantă a subiectului de fundal, oferind un aspect cinematografic.
Caracteristici importante ale bokeh-ului:
Contururi soft ale highlighturilor out-of-focus.
Culoare și contrast păstrate chiar în zone topite.
Gradualitate lină de la zonă focalizată la defocalizare, ideală pentru portrete artistice.
Obiectivul este robust, construit pentru utilizare intensă. Carcasa include garnituri care protejează la praf și stropire, iar montura este metalică pentru durabilitate. Dată fiind greutatea și dimensiunile, producătorii au integrat un colier de trepied care oferă echilibru atunci când obiectivul este montat pe un corp ușor sau pe rig video. Colierul este demontabil și, de obicei, compatibil cu plăci standard de tip Arca-Swiss.
Controlul diafragmei este foarte util pentru videografi: inelul poate funcționa cu clickuri pentru foto sau în mod lin (declick) pentru filmare, oferind tranziții ale expunerii fără zgomot mecanic. Butoanele personalizabile (AFL, buton de lock etc.) facilitează utilizarea rapidă în condiții de producție.
Setare inițială: alegi 135mm pentru o compoziție de bust/portret; setezi aparatul la prioritate diafragmei (A/Av) sau manual.
Diafragmă: f/1.4 pentru separare maximă; dacă dorești mai multă claritate pe întreaga suprafață a subiectului, treci la f/2 – f/2.8.
Distanța față-de-subiect: menține 1.5 – 3 m pentru portrete tipice — depinde de crop și de corp. La 135 mm, comprimatul perspectivei este flatant pentru trăsăturile feței.
Focalizare: folosește detectarea ochilor sau single point AF pentru precizie. La f/1.4, adâncimea de câmp este extrem de mică — exactitatea focuser-ului este crucială.
Lumină: în lumină naturală, folosește reflectoare sau fill flash pentru umplere; în backlight, ajustează expunerea și folosește parasolarul sau un filtru ND dacă este necesar.
Post-procesare: corectează vignetarea ușor, accelerezi claritatea locală în ochi și ajustezi micro-contrastul pentru a conserva textura pielii.
Diafragmă declickable: ideală pentru tranziții line ale expunerii.
Control manual al focusului: distantă de lucru necesită o tehnică de pulling — obiectivul oferă o rotire a inelului de focus adaptată pentru reproducerea fină a mișcării.
Bokeh: separarea oferită de 135mm f/1.4 este foarte utilizată în portrete cinematografice și cadre care cer focalizare selectivă.
Considerații gimbal: greutatea necesită setări de tuning atent pe stabilizatoare; utilizarea colierului și suportului poate fi recomandată când obiectivul este montat pe rig video.
Filtre de calitate 105mm: protecție frontală, polarizare și ND. Dimensiunea mare înseamnă costuri mai mari, dar calitatea filtrelor este esențială.
Colier/placă de trepied: folosește un suport robust; obiectivul este greu și cere echilibru.
Geantă rig-proof: husă sau cutie cu protecție pentru transport.
Sisteme de curățare profesională: peri fine, spray-uri anti-statice.
Parasolar dedicat: reduce flare-ul și protejează elementul frontal.
Obiectivul are tratament frontal repelent la apă/ulei, dar manipularea în condiții dificile necesită protecție. Curățarea trebuie realizată cu microfibră de calitate, spirt optic aprobat pentru pete persistente și celule de aer comprimat la nevoie. Evită expunerea prelungită la praf fin și nu șoca mecanic obiectivul.
Bokeh de top pentru portret și film.
Rezoluție excepțională la deschidere mare, utilă pentru detaliu fin.
Construcție robustă, gândită pentru producții serioase.
Funcții video friendly (declickable aperture, colier de trepied).
Versatilitate: studio, outdoor, evenimente, video.
Greutate și dimensiuni mari — necesită accesorizare pentru utilizare îndelungată.
Dimensiunea filtru 105mm înseamnă costuri suplimentare pentru accesorii.
Distanța minimă de focalizare nu permite prim-planuri extreme.
Prețul plasat în segmentul pro/semipro, justificat însă de calitatea optică.
Folosește diafragmă mare pentru portrete cu separare puternică, dar deschide/închide gradual pentru a păstra detaliile pe față.
În studiouri, împreună cu un backlight mic și reflectoare, vei obține portrete remarcabile.
Pentru video, activează inelul de diafragmă declickable și antrenează focus pulling-ul înainte de producție.
În exterior, folosește parasolar și filtre ND pentru a controla contrastul și expunerea.
Distanță focală: 135 mm
Diafragmă maximă: f/1.4
Diafragmă minimă: f/16
Elemente/grupuri optice: proiectare multielement (elemente speciale incluse)
Diafragmă: multi-lame pentru bokeh circular
Distanța minimă de focus: ~1,10 m
Raport de mărire: mic, pentru prim-planuri limitate
Diametru filtru: 105 mm
Monturi disponibile: monturi mirrorless profesionale
Greutate: substanțială, proiectată pentru stabilitate
Protecție: etanșări la praf și stropire, tratament frontal repelent
Sigma 135mm F1.4 DG Art este un obiectiv care pune accentul pe imagine: pe detaliu, pe separare și pe un desen out-of-focus care face diferența între o fotografie bună și una memorabilă. Este un instrument pentru profesioniști și entuziaști avansați care cer calitate peste compromis. Greutatea și volumul nu sunt un defect în această abordare; ele sunt prețul pentru o optică ambițioasă care oferă rezultate remarcabile.
Dacă munca ta implică portrete editoriale, fotografie comercială, proiecte de modă sau producții video care cer look-uri cinematografice cu bokeh delicat și claritate fină, investiția într-un astfel de obiectiv se justifică imediat – fiecare cadru realizează mai mult din intenția artistică a autorului.
Design optic optimizat pentru a produce un bokeh natural
Prime / Zoom: Prime
Montura aparat foto: Sony E
Diametru filtru: 105mm
Diafragma maxima: : f/1.4
Numar lamele diafragma: 11, rotunjite
Constructie optica: : 17 elemente in 13 grupuri
Stabilizare optica de imagine: Nu
Unghi de cuprindere: : 18.2°
Distanta minima de focalizare: : 110 cm
Parasolar Inclus: Da
Dimensiuni obiectiv (diametru x lungime): : φ111,7 mm × 137,5 mm
Greutate:: 1.420 g
Format compatibil: Full Frame
Tip obiectiv: Portret
| Monturi disponibile | L-Mount, Sony E |
| Format senzor compatibil | Full-frame (DG) |
| Construcție optică | 17 elemente în 13 grupuri (inclusiv 4 elemente FLD și 2 elemente asferice) |
| Unghi de cuprindere | 18,2° |
| Număr lamele diafragmă | 13 lamele (diafragmă rotunjită) |
| Diafragmă maximă | f/1.4 |
| Diafragmă minimă | f/16 |
| Distanța minimă de focalizare | 110 cm (≈ 43,4 in) |
| Raport maxim de mărire | 1:6,9 |
| Diametrul filtrului frontal | φ105 mm |
| Dimensiuni (diametru × lungime) | L-Mount: φ111,7 mm × 135,5 mm (≈ φ4,4 in × 5,3 in) Sony E-Mount: φ111,7 mm × 137,5 mm (≈ φ4,4 in × 5,4 in) |
| Greutate | L-Mount: ≈ 1.430 g / 50,4 oz Sony E-Mount: ≈ 1.420 g / 50,1 oz |
| Pachet livrare standard | Husă de protecție (pouch), parasolar LH1126-01, capac frontal LCF-105 IV, capac spate LCR III, colier/trepied TS-181, protecție (cover) PT-61, curea de umăr |
| Husă de protecție (pouch), parasolar LH1126-01, capac frontal LCF-105 IV, capac spate LCR III, colier/trepied TS-181, protecție (cover) PT-61, curea de umăr |